Heat Training im Radsport – Physiologische Grundlagen und Leistungsanpassungen
Heat Training im Radsport nutzt gezielten Hitzestress als Trainingsreiz, um physiologische Anpassungen auszulösen. Aus energetischer Sicht arbeitet der menschliche Körper im Ausdauersport vergleichsweise ineffizient: Beim Radfahren werden lediglich etwa 20–25 % der metabolisch umgesetzten Energie in mechanische Leistung überführt. Eine Leistung von 200 W erfordert daher einen metabolischen Energieumsatz von etwa 800–1.000 W, der überwiegend als Wärme freigesetzt wird (Jeukendrup & Martin, 2001).
Jede längere Ausdauerbelastung stellt somit immer auch eine thermische Herausforderung dar – selbst unter moderaten Umweltbedingungen. Mit steigender Umgebungstemperatur und Luftfeuchtigkeit erhöht sich die thermoregulatorische Belastung deutlich, was zu messbaren Leistungseinbußen führen kann.
1. Hitzestress als limitierender Faktor im Ausdauersport
Unter normalen Bedingungen ist der Organismus in der Lage, die entstehende Wärme ausreichend abzuführen. Mit zunehmender Hitze muss jedoch ein wachsender Anteil des Herzzeitvolumens für Hautdurchblutung und Schweißproduktion aufgewendet werden. Dies reduziert die kardiovaskulären Reserven für die arbeitende Muskulatur.
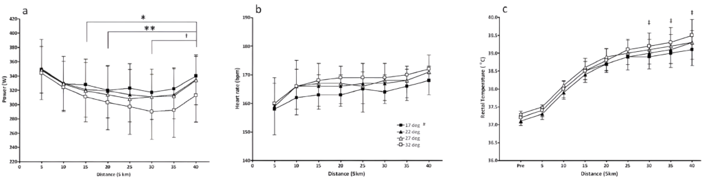
Studien zeigen, dass bei steigender Umgebungstemperatur in einem 40-km-Zeitfahren die mittlere Leistung signifikant abnimmt, während Herzfrequenz und Körperkerntemperatur im Belastungsverlauf deutlich stärker ansteigen. Hitze wirkt damit klar leistungsbegrenzend.

2. Heat Training im Radsport als gezielter Trainingsreiz
Gleichzeitig kann genau dieser Hitzestress im Rahmen von Heat Training im Radsport gezielt genutzt werden, um adaptive Prozesse anzustoßen. Eine der frühesten und bedeutendsten Anpassungen betrifft dabei das Plasmavolumen des Blutes.
Plasmavolumen – Definition und Funktion
Das Blut besteht vereinfacht aus zellulären Bestandteilen (vor allem rote Blutkörperchen) und dem Blutplasma. Das Plasma ist die flüssige Phase des Blutes und setzt sich überwiegend aus Wasser sowie gelösten Elektrolyten, Proteinen und Transportstoffen zusammen. Es fungiert als Transportmedium für Sauerstoff, Nährstoffe und Stoffwechselprodukte und spielt eine zentrale Rolle für die kardiovaskuläre Stabilität.
Warum expandiert das Plasmavolumen beim Heat Training?
Nach einer einzelnen Trainingseinheit unter Hitzebedingungen sinkt das Plasmavolumen zunächst ab. Ursachen hierfür sind vor allem der Flüssigkeitsverlust durch Schwitzen sowie eine ausgeprägte periphere Vasodilatation (Weitstellung der Gefäße)zur Wärmeabgabe. In dieser akuten Phase ist das zirkulierende Blutvolumen reduziert, was zu einem verminderten venösen Rückstrom, einem vorübergehenden Blutdruckabfall und einem kompensatorischen Anstieg der Herzfrequenz führen kann.
Diese Reaktion stellt einen akuten physiologischen Stressreiz dar, jedoch noch keine Anpassung. Erst wiederholter Hitzestress im Rahmen von Heat Training im Radsport führt zu chronischen Anpassungen. Über hormonelle Mechanismen – insbesondere Aldosteron und das antidiuretische Hormon (ADH) – wird die Rückhaltung von Wasser und Natrium in der Niere gefördert. Zusätzlich begünstigen osmotische Veränderungen den Flüssigkeitsrückstrom aus dem Interstitium (Zwischenraum der Zellen) in die Blutbahn.
In der Folge kommt es nicht nur zur Wiederherstellung, sondern häufig zu einer überkompensatorischen Expansion des Plasmavolumens. Diese verbessert den venösen Rückstrom, stabilisiert das Schlagvolumen und ermöglicht gleichzeitig eine effektive Hautdurchblutung zur Thermoregulation.
Du willst Heat Training gezielt Ausprobieren?
Mit den CORE Produkten steuerst du Temperaturreize präzise und nutzt Hitze als wirksamen Trainingsstimulus für deine Leistungsentwicklung.
3. Hämatologische Anpassungen durch Heat Training
Neben der raschen Plasmavolumenexpansion zeigen Studien von Lundby et al. (2025) und Rønnestad et al. (2022), dass sich bei längerfristigem Heat Training im Radsport über mehrere Wochen eine Zunahme der Hämoglobinmasse von etwa 2–4 % entwickeln kann. Da Hämoglobin den Sauerstofftransport im Blut übernimmt, verbessert diese Anpassung die Sauerstoffversorgung der Muskulatur und damit die Leistungsfähigkeit bei Ausdauerbelastung.
Diese zeitlich verzögerte hämatologische Anpassung wird häufig im Kontext der sogenannten Critmeter-Hypothese diskutiert.
Die Critmeter-Hypothese
Nach der initialen Expansion des Plasmavolumens sinkt die gemessene Hämoglobinkonzentration zunächst ab. Dieser Effekt beruht auf einer Verdünnung des Blutes (Hämodilution) und nicht auf einem Verlust roter Blutkörperchen. Die Sauerstofftransportkapazität pro Blutvolumen ist dadurch vorübergehend reduziert.
Die Critmeter-Hypothese geht davon aus, dass die Niere diese Veränderung registriert. Als zentrales Regulationsorgan für die Erythropoese (Bildung roter Blutkörperchen/Erythrozyten im roten Knochenmark) reagiert sie sensibel auf Veränderungen der lokalen Sauerstoffspannung. Eine reduzierte Sauerstoffverfügbarkeit kann die Ausschüttung von Erythropoetin (EPO) stimulieren, welches die Neubildung roter Blutkörperchen im Knochenmark anregt. Dies würde erklären, warum eine Zunahme der Hämoglobinmasse erst verzögert nach mehreren Wochen messbar wird.
4. Physiologische Anpassungen durch Heat Training im Überblick
Die folgende Übersicht fasst zentrale funktionelle Effekte und biologische Anpassungen infolge von Heat Training im Radsport zusammen (nach Périard et al., 2015; Sawka et al., 2011):

Bereit für den nächsten SChritt?
Möchtest du deine Ziele schneller erreichen und Klarheit in deinen nächsten Schritten gewinnen? Dann entdecke unser Coaching-Angebot und buche dir direkt ein kostenloses Erstgespräch!
5. Fazit
Wie sich zeigt, kann Hitze mehr sein als nur ein limitierender Faktor im Ausdauersport. Richtig eingesetzt kann der Hitzestress gezielte Anpassungen anstoßen, die kurz- und langristige Belastbarkeit und Leistungsfähigkeit verbessern. Entscheidend ist dabei, dass Hitze als Trainingsreiz kontrolliert und dosiert eingesetzt wird. Unkontrolliertes Überhitzen führt vor allem zu Ermüdung und kann chronische Leistungseinbußen hervorrufen. Wie Heat Training und Heat-Akklimatisation unterscheiden und in der Praxis umsetzen lassen, steht im Fokus des nächsten Blogartikels.
Literatur
Jeukendrup, A. E., & Martin, J. (2001). Improving cycling performance: how should we spend our time and money. Journal of Applied Physiology, 90(4), 1520–1526. https://doi.org/10.1152/jappl.2001.90.4.1520
Lundby, C., & Robach, P. (2025). Altitude or heat training to increase haemoglobin mass and endurance exercise performance in elite sport. The Journal of Physiology, Open Access. https://doi.org/10.1113/JP287700
Périard, J. D., Racinais, S., & Sawka, M. N. (2015). Adaptations and mechanisms of human heat acclimation: Applications for competitive athletes and sports. Scandinavian journal of medicine & science in sports, 25(1), 20–38. https://doi.org/10.1111/sms.12408
Peiffer, J.J., & Abbiss, C.R. (2011). Influence of environmental temperature on 40 km cycling time-trial performance. International journal of sports physiology and performance, 6(2), 208-220. https://doi.org/10.1123/ijspp.6.2.208
Rønnestad, B. R., Urianstad, T., Hamarsland, H., Hansen, J., Nygaard, H., Ellefsen, S., Hammarström, D., & Lundby, C. (2022). Heat Training Efficiently Increases and Maintains Hemoglobin Mass and Temperate Endurance Performance in Elite Cyclists. Medicine and science in sports and exercise, 54(9), 1515–1526. https://doi.org/10.1249/MSS.0000000000002928
Sawka, M. N., Leon, L. R., Montain, S. J., & Sonna, L. A. (2011). Integrated physiological mechanisms of exercise performance, adaptation, and maladaptation to heat stress. Comprehensive Physiology, 1(4), 1883–1928. https://doi.org/10.1002/cphy.c100082